Produkt bewerten
Auf Lager:
1
Zustellung: Do, 02.04.2026
Versand: Kostenlos
-3.7 %
CHF 38.50
CHF 37.06
Beschreibung
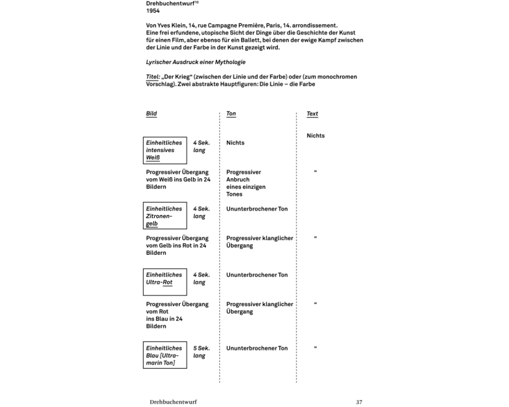
Yves Klein zählt zu den vielseitigsten Künstlern des 20. Jahrhunderts. Klein war Judoka, experimenteller Maler und Performer, leidenschaftlicher Leser philosophischer Abhandlungen und nicht zuletzt auch ein (nach Thomas McEvilley) »Provocateur«, der seine Vielgestaltigkeit zum Medium einer zukunftsgerichteten Kunst machte. Kleins theoretische Texte dokumentieren die Facetten seiner Arbeit und steigern sie künstlerisch. Der vorliegende Band sammelt seine ästhetischen Schriften in einer für eine breite Leserschaft zugänglichen Edition als ein Instrument, um Kleins (Schreib-) Kunst zu durchdringen. Luca Viglialoro (1985) ist Professor für Ästhetik, Kunst- und Kulturtheorie an der Hochschule der Bildenden Künste Essen und Autor zahlreicher Abhandlungen im Bereich der Kunst- und Medienphilosophie wie etwa Kiefer. Kunst als Prozess. (2024) und Die Geste der Kunst. Paradigmen einer Ästhetik. (2021). Er hat als Übersetzer Schriften von Jean-Luc Nancy und Giorgio Agamben ins Deutsche übersetzt und herausgegeben.
Spezifikationen
Sprache
- Deutsch
Autor
- Neil Holt
- Luca Viglialoro
- Yves Klein
- Alexandra Apfelbaum
Kollektion
- Hatje Cantz Text
Auflage
- 1
Erscheinungsjahr
- 2025
Erscheinungsland
- Deutschland
Format
- Buch (Softcover)
Detailformat
- Softcover
Anzahl Seiten
- 280








